2026年最新手续费标准是多少钱?(附手续费一览表)
发布时间:2026-3-26 16:36阅读:165
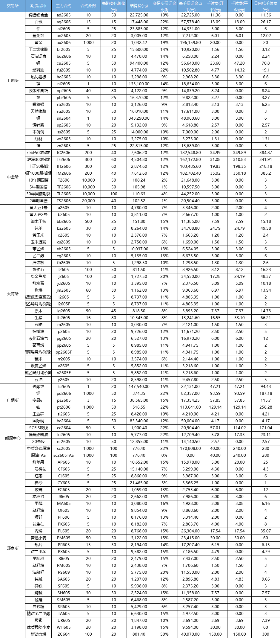
2026年期货手续费是1-200多元区间,每个品种的交易手续费是不一样的标准。有的是按照固定值,有的是按照比例值收取的手续费。最好找到期货经理要一份手续费一览表,这样可以清楚了解每个品种手续费了。
期货手续费是分为交易所标准和期货公司手续费标准,若是自己去开户的手续费是期货公司默认的标准。这种手续费是默认的标准。所以在开户时一定要联系期货经理去申请一个手续费优惠的账户。一般优惠的手续费是要比交易所多一点的标准。

以下手续费是交易所的标准

添加期货经理的微信,向期货经理申请一个手续费优惠标准,就可以有个全品种的手续费优惠,而不是单一品种手续费优惠,优惠的手续费长久有效。通过期货经理就可以申请一个满意的,优惠的手续费标准。
温馨提示:投资有风险,选择需谨慎。
纯碱期货最新的手续费一览表的标准是多少?
期货手续费的标准是多少钱?手续费一览表标准是?
最新的手续费一览表是多少钱?华泰期货手续费一览表最新2025?
最新手续费一览表是多少?
-
REITs打新:本周共有4个商业REITs基金发售:唯品商业、首农商业、砂之船和地产商业
2026-05-25 16:03
-
网格交易条件单怎么选?小叩深度测评国金、华泰、国泰海通三大主流券商APP
2026-05-25 16:03
-
聪明投资者都会做的止盈止损,应该如何设置?(附自动交易工具)
2026-05-25 16:03


问一问

+微信
分享该文章
