无数股票期货交易员在用的神器“ 凯利公式 ”,到底是什么?【经典再读】
发布时间:2020-4-1 11:24阅读:966
导读
每位期货股票交易员的成长过程中,一定会听到或接触过这个号称是资金管理的神器——“凯利公式”
在概率论中,凯利公式(也称 “凯利方程式”)是一个在期望净收益为正的独立重复赌局中,使本金的长期增长率最大化的投注策略。该公式于 1956 年由约翰·拉里·凯利(John Larry Kelly)在《贝尔系统技术期刊》中发表,可以用来计算每次游戏中应投注的资金比例。若赌局的期望净收益为零或为负,凯利公式给出的结论是不赌为赢。
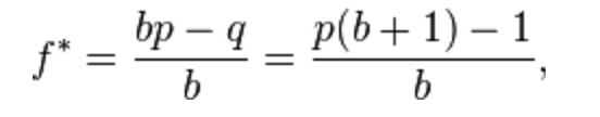
凯利公式的前世今生LIKE,Software Engineer有些交易经验的期货股票交易员朋友应该都对著名的凯利公式不陌生。这是一个通过计算 edge 和 odds 来选择最佳投注比例的公式,目的是长期获得最高的盈利。
公式中f = 应该放入投注的资本比值p = 获胜的概率
q = 失败的概率
b = 赔率其实公式的作者,John Larry Kelly,并不是一个资深赌徒,而是一位著名的物理学家,他发明这个公式的时候正是著名的 AT&T 的 Bell Lab 中的一名研究科学家,研究方向是当时还算新兴前沿的电视信号传输协议。
这样一个理论科学家是如何把名字和博-彩联系在一起的呢?那就不能不看下这本书了。
William PoundStone, 把 Kelly 公式和它发明者的故事写入了他的作品,Fortune’s Formula, the untold story of the scientific betting system that beat the casinos and Wall Street.
1955 年 6 月,美国出现了一个极其有名的电视节目,叫做 64000 dollar question. 答题者通过不断答对题来累积奖金,一时风靡全美,黄金时段收视率达到 85%,各路山寨节目不断。
这样一个 quiz show 迅速吸引了场外下注来赌赢家的赌盘。这档节目的录制是在纽约,东海岸现场直播,而西海岸则有延时。当时的新闻爆出一些丑闻,有关西海岸的赌徒通过电话提前得知结果,赶在了西海岸直播前下注。John Kelly 看了新闻之后,他想到这个如何使具备一定内幕消息 (private wire) 但是同时有一部分杂音 (noise) 的赌徒最大化长期获益的问题,可以使用他们实验室关于咨询学和噪音传递研究的公式来解决。于是,他以一个赛马的模型,推出了凯利公式的雏形。John Kelly 的理论是这样的,对于有一定 private wire 的赛马人来说,第一个自然的想法当然是放入全部的资金,但是这样就会造成万一输掉血本无归的惨境。而在 Kelly 想要解决的这个问题中,在任何一个时刻输掉全部资金显然是不符合最大化累积收益的需求的。真正应该关心的是长期累积的收入 (compounding return),对于累积的收益来说,最后的结果只和输赢的局数有关,而和输赢的顺序无关。所以他推出了一个最佳的投入仓位比,来最大化长期的累积收益:bet = edge / odds = 预期获益/获益回报这里的 edge 在赌-博中可以理解为 获胜的概率*赔率 - 失败的概率,当 edge 的数字为正的时候,这就是值得下注的比赛,而 edge 为 0 或者负数的情况说明赌徒不具备 edge, 不应该下注 (applies to most of games in casino)而 odds 则是赔率,我们更可以把它理解为一种公众对概率的估计,是公开的消息。我们可以用 kelly formula 模拟这样一种情况:小明现在有 100 元的起始资金,他现在将要投硬币 4 次,每一次他投出硬币为正面的时候,将获得 6 倍资金回报(1 赔 5),当他投出硬币为反面,陪光。请问小明要如何分配每次下注资金,才能最大化他 4 次投币之后的收益 (maximize geometric mean) 呢?
温馨提示:投资有风险,选择需谨慎。


问一问
+微信
分享该文章
