2026年现在哪家期货公司的交易保证金低?(最低标准)
发布时间:2026-3-23 17:51阅读:96
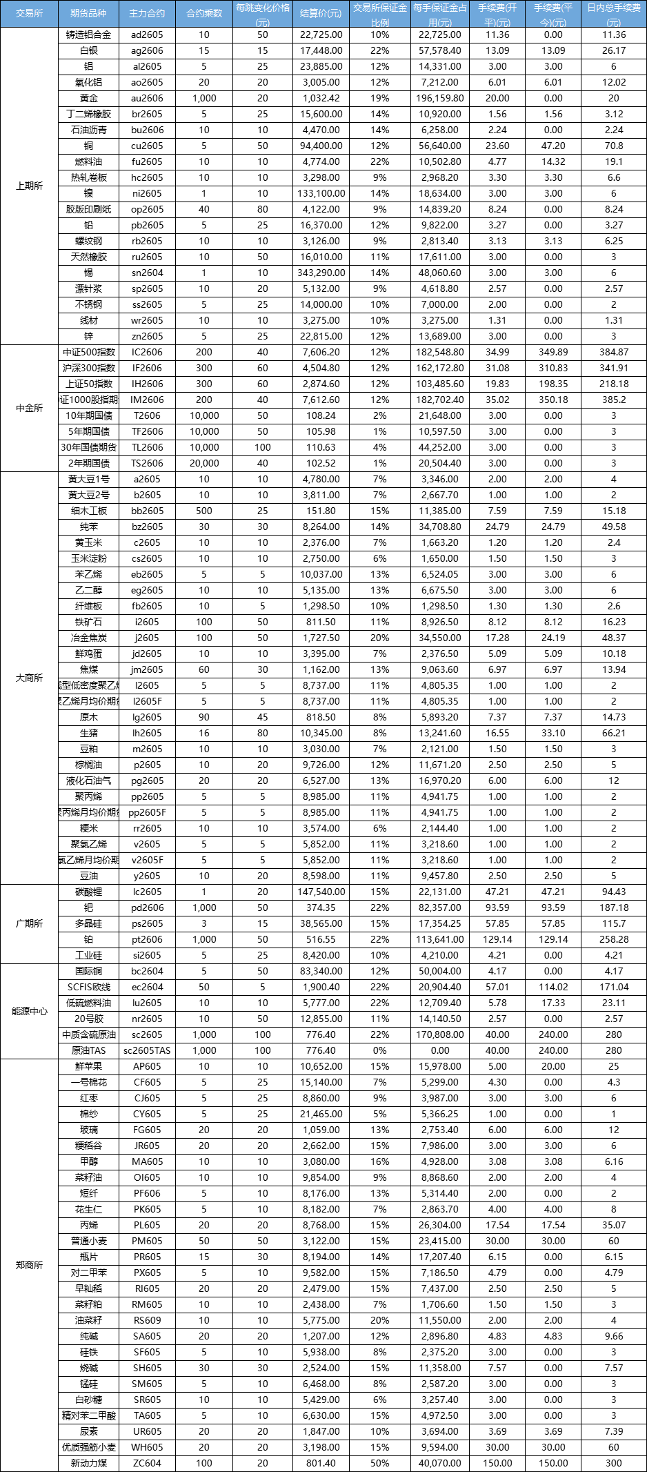
2026年国内期货保证金低的公司有不少,像国内AA级期货公司,以及国内前十期货公司等都是可以的。但调整交易保证金期货公司都是有一定的资金要求,这是因为保证金调低了,就会带来一定的交易风险,所以需要有多余的资金来抵御行情的波动。可以加我微信直接推荐国内排名靠前的期货公司,同时推荐保证金低期货公司。而且还是使用主流CTP交易通道的期货公司,交易速度快,交易信号稳定不卡顿。
期货公司调整交易保证金一般是需要满足资金在3-10万元起,每家期货公司的资金要求都是不一样的标准。所以最好加我微信详细咨询了解下。保证金调低了可以提高资金利用率,同时也会带来一定的交易风险。
需要注意的是:自己去开户或者是在三方软件开户,申请的手续费和保证金都是默认的标准。一般在这种是没有优惠的。
可以加我微信详推荐一个手续费低,以及交易保证金低期货公司,可以有效的提高资金利用率,同时节省交易成本。
温馨提示:投资有风险,选择需谨慎。
2026年保证金最低的期货公司有哪些?
2026年哪家期货公司保证金最低?
期货保证金最低标准介绍,哪家保证金是最低的?


问一问

+微信
分享该文章
