2024年全国期货公司排名榜 (散户看了都收藏)
发布时间:2024-9-1 12:35阅读:441
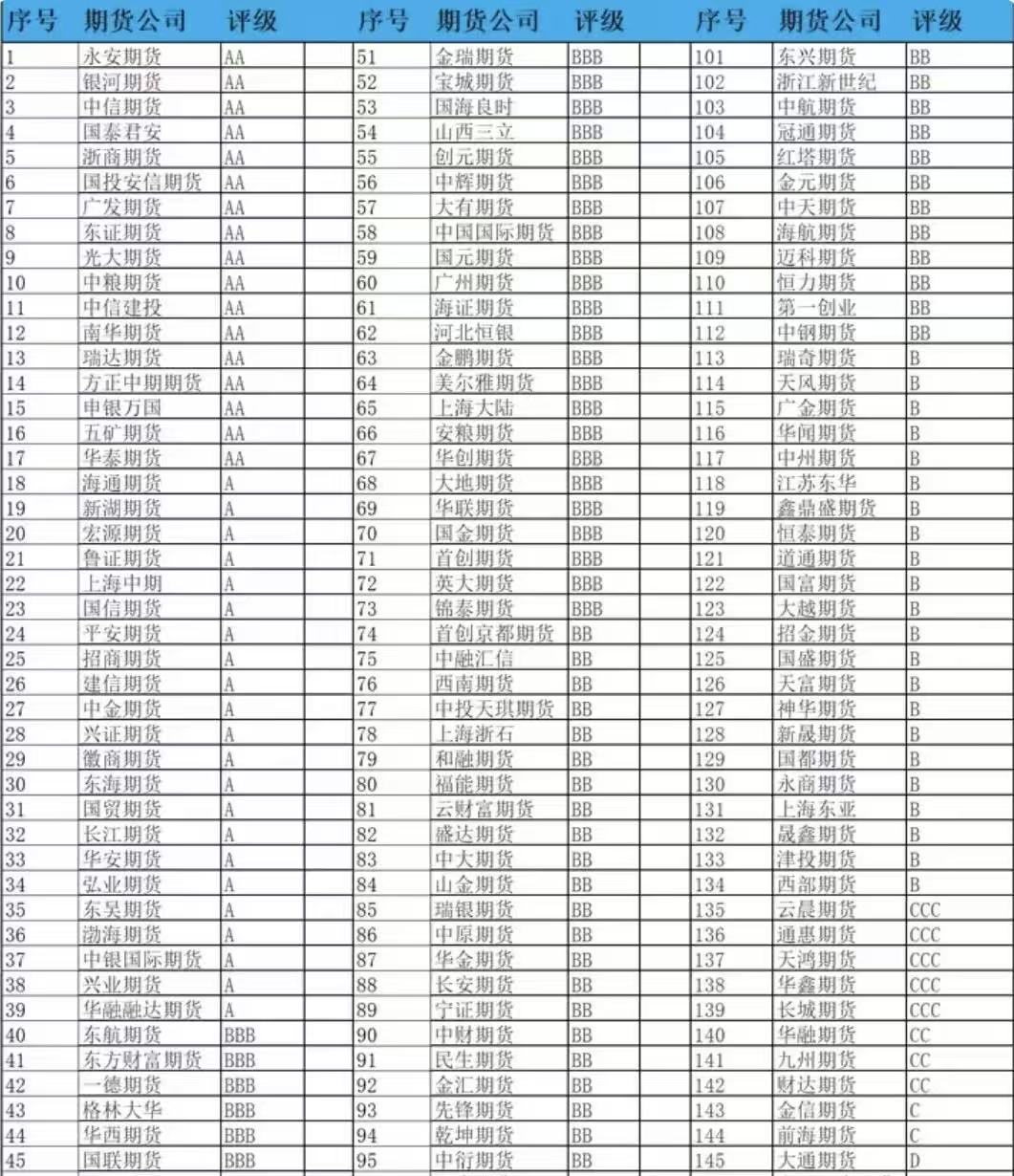
2024年全国期货公司排名榜是一个动态变化的榜单,每年会根据期货公司的经营情况、市场影响力、服务质量等多方面因素进行综合评估。根据知乎和叩富网等权威信息源提供的信息,当前全国期货公司排名中,一些综合实力较强的公司通常能够跻身前列。
全国期货公司排名榜如下:

具体来说,国泰君安期货、银河期货、永安期货、中信期货、华泰期货、东证期货、中信建投期货**等公司在全国期货公司中具有较高的排名。这些公司不仅拥有雄厚的资本实力,还具备卓越的服务质量和良好的市场口碑,是投资者在选择期货公司时的重要参考。
需要注意的是,期货公司排名并非一成不变,而是会根据市场环境和公司经营情况的变化而有所调整。因此,投资者在选择期货公司时,除了参考排名外,还需要结合自身的投资需求和风险偏好进行综合考虑。
关于期货问题解答,如果有疑问,可以添加微信24小时全天免费咨询,做期货时,您需要从以下四点全面考虑:手续费、保证金、交易通道以及服务。综合评判这些因素,选择适合自己的才是最重要的,欢迎咨询,祝您投资顺利~
温馨提示:投资有风险,选择需谨慎。
2025年全国期货公司排名榜(看有没有你的公司)
厉害的期货公司排名榜前十有哪些?
请问现在国内期货公司排名榜有哪些可靠?
-
期货精准多空信号指标,速领!
2025-02-06 15:38
-
期货量化自动交易,无需盯盘
2025-02-06 15:38


问一问

+微信
分享该文章
