Skew指数在风险管理中的运用——以白糖期权为例
发布时间:2020-9-10 12:28阅读:1229
01 Skew指数原理
场内期权隐含波动率一般会呈现“平值期权IV低,两侧期权IV高”的形态,即所谓的隐含波动率微笑。
但很多时候波动率并不“微笑”,而是会出现左偏或右偏这类“假笑”的结构。
造成这一现象的原因与市场对标的资产收益分布不对称的认知有关。
如股市容易遭遇黑天鹅,短期暴跌的概率要高于暴涨的概率,因此对股价下跌保护的需求导致更多人买入虚值看跌期权推升IV,而且由于有很多专业机构会从事卖虚值看涨期权的备兑增益策略,因此虚值看涨期权的IV也会稍低一些,从而呈现出IV左边高右边低的左偏结构。
而商品市场则相反,由于更容易出现极端大幅上涨行情,因此更多时候会保持虚值看涨期权IV更高的右偏结构。
为了衡量市场风险的不对称性,芝加哥期权交易所(Chicago Board Options Exchange, CBOE)率先推出了偏度指数Skew,又被称为黑天鹅指数,该指数通过计算虚值期权价格的偏离程度来衡量市场对意外事件的担忧程度,对此前的美国次贷危机、英国脱欧事件等均有非常好的预警效果。
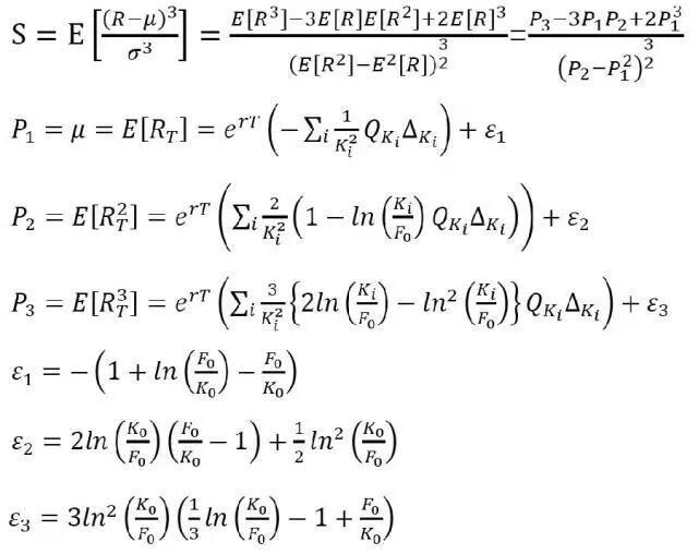
参照CBOE偏度指数的计算方法,白糖期权Skew计算公式为:
S的定义类似于统计学中的偏度(Skewness),代表标的价格分布的非对称程度;
R是标的30天的对数收益,μ为其均值,σ为其标准差。
由于计算出来的偏度数值S非常小,在实际应用中并不方便,因此通常会对其进行放大处理,从而形成了国际上常用Skew指数。
根据期权价格代入上述公式即可推导出无模型Skew指数,具体的计算公式为:
Skew=100-10×S
F0:从期权价格推算得到的远期价格
K0:为第一个 小于F0的行权价格
Ki:虚值期权的行权价格
02 Skew指数历史统计
图为郑糖价格与Skew指数走势
此外,随着期权到期日临近,隐含波动率微笑陡峭程度也在加深,因此选择在期权到期日的前7个交易日进行换月,避免Skew指标不稳定。
上图为Skew指数与主力郑糖期价的走势图,可以明显看出,当Skew指数处于高位时,随后糖价出现下跌的概率较大。从历史数据来看,二者相关系数为0.25,弱正相关。
说明当糖价走高时,市场担心行情会回落,部分投资者会在期权市场寻求价跌保护,此时无论是买入看跌期权还是卖出看涨期权进行对冲,都会导致Skew指数升高并大于100;
反之,当糖价走低时,市场对行情反弹抱有预期,此时如果买入看涨期权或者卖出看跌期权,都会导致Skew指数降低并低于100,特别是在2018年4月和5月期间,糖价处于近两年来低点,彼时的Skew指数长期保持在88—93区间,显示出后市价格上涨的预期更为强烈。
从白糖期权上市至今数据统计结果来看,Skew指数有61.5%的时间里小于100,隐含波动率微笑曲线更多时候会呈现出左边低右边高的右偏结构。
03 Skew 指数的预警作用
图为白糖期权Skew指数频率分布
从上图白糖期权上市至今的Skew指数分布情况来看,分布范围在87—116之间,均值为98.95,中位数为99.11,均小于100,这意味着市场对白糖期货的对数收益分布公允估计是右偏的。
之所以出现这种情况,主要也是因为近年来白糖价格处于熊市周期低点,后续价格上涨空间要大于下跌空间。
为进一步观察白糖期权Skew指数在风险预警方面的有效性,我们统计Skew指数位于极值时,后续1、3、5、10、20、30个交易日等不同期限下的期货涨跌幅均值。
统计Skew指数各历史百分位数如下表所示,可以看到在2018年7月之前郑糖熊市期间,Skew指标低分位数的数值会更低一些,而高分位数指标在不同时间段的区别并不大。
因此,我们直接统计超过90%分位数水平104.6的后市收益率均值,而低于10%分位数则分时间段来统计。
当Skew处于低位时,理论上应该意味着后市看涨的预期更为强烈,后市白糖期货对应的涨幅表现应该会更好。
但实际观察结果却不是这样,特别是在2018年7月之前,即便是Skew处于低位时,各时间段的价格下跌幅度也比全历史数据更大,主要原因就在于这段时间的郑糖价格刚好处于持续下跌行情中。
但在2018年7月之后,当Skew指数处于低位时,后市行情确实会更偏上涨一些,说明白糖期权Skew指数低位时的预警效果在振荡市中会更好一些。
表为不同情况下白糖期货涨跌幅均值
04 策略优缺点比较分析
当市场对行情下跌担忧增加时,往往Skew指数会上升至高位,基于这种特征,糖厂在进行风险管理时,就可以选择在Skew指数高位时,卖出期货或者买入看跌期权来锁定下行风险。
两种策略都有各自的优缺点,卖出期货胜在操作简便,对糖厂而言,可以直接对冲所有下跌风险,锁定榨利;买入看跌期权最大的优势就是资金占用少,不需要缴纳保证金,也不存在追保风险,而且如果后市糖价不跌反涨,最大亏损也只是权利金支出,不会像卖出期货一样出现巨额套保亏损。
为比较两种策略的历史表现,我们以白糖期权上市1周年的Skew数据作为样本,从2018年4月19日开始统计每天收盘的Skew指数,如果Skew指数大于历史80%分位数,则下一交易日开盘就做空主力月份期货或买入平值看跌期权。
为了更明显地看出期货和期权两种工具在资金方面的效率高低,我们每次建仓交易设定为1手,手续费按照交易所标准3倍收取(即期货9元/手,期权4.5元/手,平今均免收手续费),并以回测期间期货最大的保证金规模乘以2倍作为期货策略的初始资金,以最大权利金乘以2倍作为期权策略的初始资金,比较持有周期分别为1、3、5个交易日时,对应的策略损益表现如下表所示。
温馨提示:投资有风险,选择需谨慎。
白糖期权是如何帮助企业进行风险管理的?


问一问
+微信
分享该文章
