2026年全网最全期货手续费和保证金一览表(2026.03.30)
发布时间:2026-3-30 18:47阅读:175
都2026年了,还有好多朋友对期货手续费和保证金这一块儿是没有概念的,不知道手续费多低才算低,没有标准。手续费是期货交易中不可避免的成本之一,不同期货公司的手续费水平可能存在差异,但没有绝对的哪家期货公司手续费最低的说法,每家期货公司的手续费都是可以在交易所规定基础之上跟客户经理协商的,不同的就是每家期货公司调整门槛不一样而已,有的宽松,有的严格。
期货保证金是什么意思?在期货市场上,交易者只需按期货合约价格的一定比例交纳少量的资金作为履行期货合约的财力担保便可参与期货合约的买卖,这种资金就是期货保证金,比如期货的实际价值是100元,你只需要出10%的押金,也就是10块钱就可以参与买卖交易了,这就是大家常说的杠杆交易,以小博大的投资,基于与风险都同时增大。
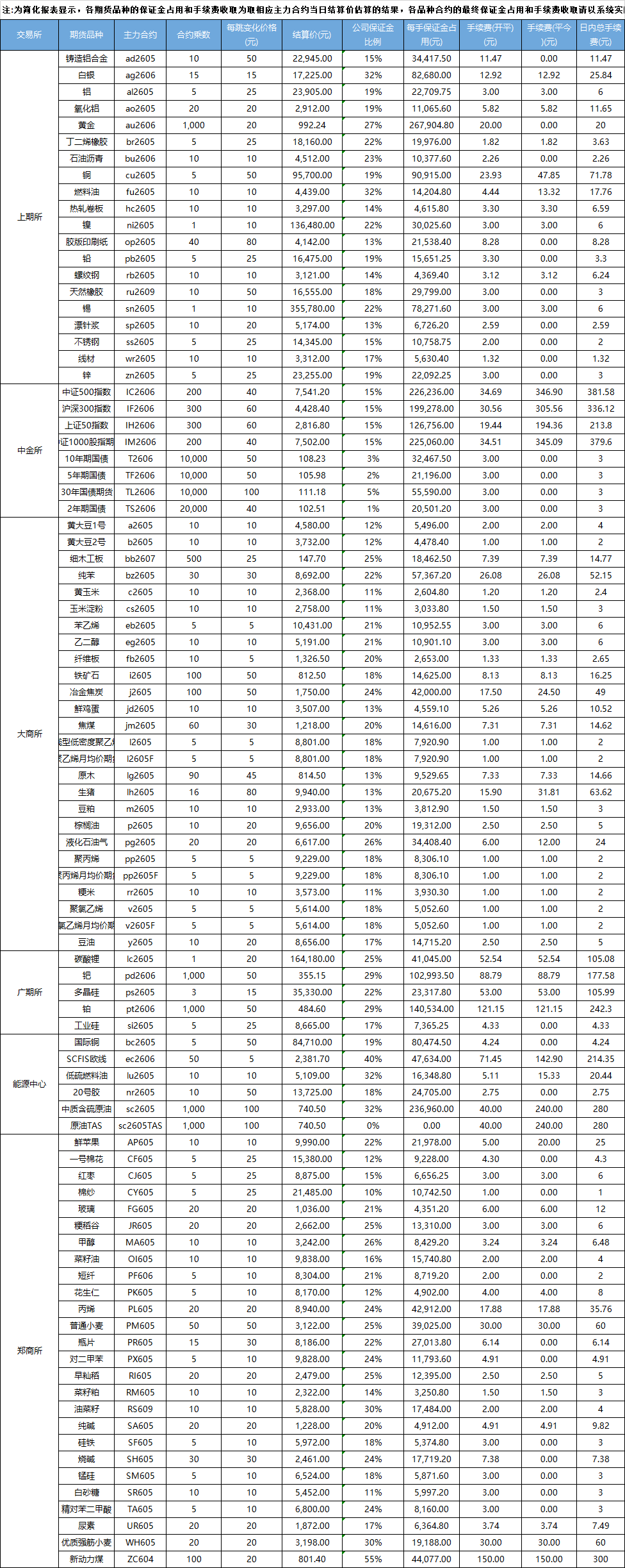
下面我总结了最新期货品种手续费和保证金一览表大全,希望对您有用(实际交易以期货公司为主,仅作参考)

最后请允许我来一个小小的广告,如果你不知道如何选择期货公司,如何找到优惠的费率渠道,还在为基础的期货开户问题烦恼,那么请直接联系郭经理,多年从业经验,一站式开户服务,别的不敢保证,优质期货账户这一块给你安排的明明白白,助力您在期市博弈鏖战!
温馨提示:投资有风险,选择需谨慎。
期货手续费一览表,保证金一览表
最全的期货手续费保证金一览表
期货手续费、保证金、一览表有吗


问一问

+微信
分享该文章
